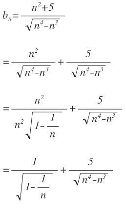
Es ist leider gar nicht klar, wie dein bn aussieht. Ich rate mal etwas, das Sinn machen würde, und forme Schritt für Schritt um.

Wenn man hier n----> unendlich betrachtet gilt:
Der erste Summand wird zu 1/√1 = 1.
Der zweite Summand wird zu 0
Grenzwert von bn für n gegen unendlich ist somit 1.
 
Exkurs
An der Stelle, wo n2 vor die Wurzel kommt, benutze ich
n4 = (n2)2
und
n3 = n4/n = n4 * 1/n
Daher gilt n4 + n3 = n4 (1 + 1/n)
n4 kann man nun als n2 vor die Wurzel schreiben. 
 
Das ist noch der Text zur Formeleingabe (Falls du auch mal eine Formel eingeben möchtest):
{ b }_{ n }=\frac { { n }^{ 2 }+5 }{ { \sqrt { { n }^{ 4 }{ -n }^{ 3 } }  } } \\ \\ =\frac { { n }^{ 2 } }{ { \sqrt { { n }^{ 4 }{ -n }^{ 3 } }  } } +\frac { 5 }{ { \sqrt { { n }^{ 4 }{ -n }^{ 3 } }  } } \\ \\ =\frac { { n }^{ 2 } }{ { { n }^{ 2 }\sqrt { 1-\frac { 1 }{ n }  }  } } +\frac { 5 }{ { \sqrt { { n }^{ 4 }{ -n }^{ 3 } }  } } \\ \\ =\frac { 1 }{ { \sqrt { 1-\frac { 1 }{ n }  }  } } +\frac { 5 }{ { \sqrt { { n }^{ 4 }{ -n }^{ 3 } }  } } \\