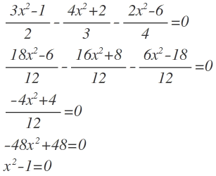
Zuerst bringe ich die Gleichung auf die Form x^2+px+q=0:

\frac { { 3x }^{ 2 }-1 }{ 2 } -\frac { { 4x }^{ 2 }+2 }{ 3 } -\frac { { 2x }^{ 2 }-6 }{ 4 } =0\\ \frac { { 18x }^{ 2 }-6 }{ 12 } -\frac { { 16x }^{ 2 }+8 }{ 12 } -\frac { { 6x }^{ 2 }-18 }{ 12 } =0\\ \frac { { -4x }^{ 2 }+4 }{ 12 } =0\\ -48{ x }^{ 2 }+48=0\\ { x }^{ 2 }-1=0
Nun kann ich p und q ablesen: p=0, q=-1
Einsetzen in pq-Formel:
x1,2=±√(1)
x1,2=±1