Aufgabe Drachenvierecke
Angaben:
* Diagonale [ACn] liegt auf Symmetrieachse
* Bn (x | y) ∈ g: y(x) =0.5x - 2
* ∠ BnADn = 73,74°
* ∠ CnBnA = 123,69°
* A (0|0)
Ergänzungen:
* ∠ BnADn = α = 73,74°
* ∠ CnBnA = β = 123,69°
* ∠ BnCnDn = γ = 38,88°
* ∠ CnDnA = α = 73,74° //Drachenviereck
1.1 Zeichne die Drachenvierecke AB1C1D1 und AB2C2D2 für x=4 und x=6
Hier eine Zeichnung für x = 2.

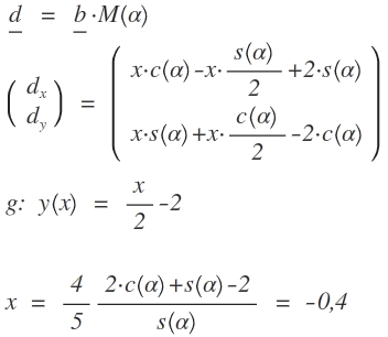
1.2 Stelle die Koordinaten der Punkte Dn in Abhängigkeit der Abszisse x der Punkte Bn dar
Vektor auf Punkt Bn(x | 0.5x - 2) und Betrag des Vektors:

Der Vektor d auf Dn ergibt sich aus der Drehung des Vektors b um den Ursprung mit dem Winkel α:

M heißt Drehmatrix;s( ) = sin( ), c( ) = cos( ).
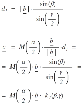
1.3 Stelle die Koordinaten der Punkte Cn in Abhängigkeit von der Abszisse x der Punkte Bn dar
Der Vektor c auf Cn ergibt sich aus der Drehung von b um den Ursprung mit α/2, Normierung und Streckung mit d1 der Länge der Diagonalen, die auf der Symmetrieachse liegt.
Berechnung der Länge von d1 mit dem Sinussatz:

Formel für Vektor c:

k1(β,γ) ist eine Konstante die in Abhängigkeit von β und γ berechnet wird; sie dient nur der Übersichtlichkeit.
1.4 Berechne die Belegung von x, für die die Diagonale [B3D3] auf der Geraden g verläuft
Wenn dies der Fall sein soll muss D3 ∈ g gelten, x muss die Geradengleichung erfüllen. Man setzt die x- und y-Werte des Vektors d in die Geradengleichung ein und löst nach x auf.

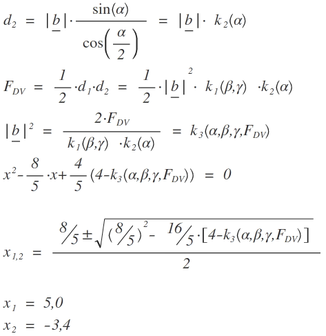
1.5 Berechne die Belegung von x, für die das Drachenviereck AB4C4D4 einen Flächeninhalt von 37,9 FE hat
Der Flächeninhalt eines Drachenvierecks berechnet sich aus FDV= 1/2 *d1*d2.
Die Länge der Diagonalen d2 berechnet sich mit Hilfe des Sinussatzes zu:

Nach FDV= 1/2 *d1*d2:

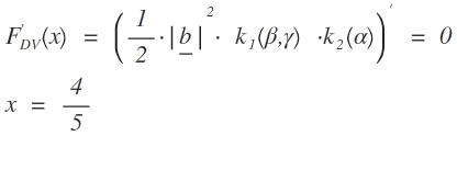
1.6 Berechne die Belegung von x, für die das Drachenviereck AB0C0D0 minimalen Flächininhalt hat
Die Fläche wird minimal, wenn die Ableitung 0 ist. F'DV(x) = 0
