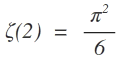
Die Riemannsche Zetafunktion hat an der Stelle 2 ja diesen bekannten Wert.

Nun erfüllt die Funktion für alle komplexen Zahlen außer der 0 und der 1 auch die Gleichung.

Wenn ich jetzt s gleich 2 setze, dann ist der Fakor

gleich 0, weil pi eine Nullstelle des Sinus ist.
Nach der Gleichung hätte die Funktion an der Stelle 2 also eine Nullstelle, was nicht mit dem obigen Wert übereinstimmt.
Wo liegt das Problem?