
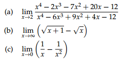
Ich soll von diesen Aufgaben die eigentliche und uneigentliche Grenzwerte herausfinden.
Bei a) habe ich den Grenzwert mit l'Hospital rausbekommen, und der liegt bei -5/3
Aber bei b) und c) weiß ich nicht wie ich da voran gehen kann. . . Ich weiß, dass b) den Grenzwert 0 hat und c) den Grenzwert 1, aber in wie weit das Stimmt, und wie man das rechnen soll weiß ich nicht.
Ich wünsche euch einen schönen Abend~