ich probiere gerade die Herleitung der Keplerschen Fassregel zu verstehen,ich habe alles verstanden bis zu dem Punkt wo die beiden Näherungswerte S und T mit K = 1/3 * (2S+T) kombiniert werden.
Wir haben also S und T :
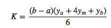
Meine Frage nun. Was passiert mit T also (b-a)*ym damit K siehe unten rauskommt.

Wäre nett wenn jemand die einzelnen Rechenschritte erklären könnte. Schonmal danke im Voraus.
Lennart