
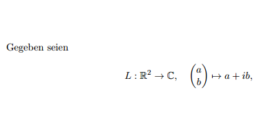
Aufgabe dazu: Bestimmen Sie den Kern(L) und geben Sie eine Basis des Kerns an.
Könnte mir jemand helfen? Ich denke, dass der Kern nur aus dem Nullvektor besteht, bin mir aber ziemlich unsicher.
Meine andere Überlegung war, dass die Vektoren ( d , i*d ) einen Kern bilden. Aber sie müssen ja reelle Zahlen sein, oder?
Ich bin mir zimelich unsicher. Ich hoffe mir kann jemand helfen. Danke :)