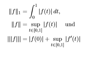
Ich habe die drei Normen:

Ich soll nun zeigen, dass eine konvergente Folge,die bezüglich der zweiten Norm || · || konvergiert, auch bzgl ||·||1 konvergiert und dass eine konvergente Folge, die bezüglich der dritten Norm |||·||| konvergiert, auch bzgl der zweiten Norm konvergiert.
Also quasi von unten nach oben.
Ich versuche mal anzufangen:
Ich nehme mir eine Folge an und sage,dass diese in der zweiten Norm konvergiert, also
limes n -> unendlich von sup | fn(t) -f(t) | = 0
Jetzt nehme ich die erste Norm und möchte zeigen:
limes n -> unendlich von ( ∫ von 0 bis 1 von ( | fn(t) -f(t) | ) dt = 0 )
Kann ich aus der ersten Aussage schließen, dass | fn(t) -f(t) | gegen 0 läuft für n gegen unendlich? Das supremum gibt ja den größten Abstand( muss nicht in der Menge enthalten sein) an. Damit dieser Zustande kommt, muss aber doch bereits | fn(t) -f(t) | -> 0 gelten oder nicht?
Dann würde der Integrand gegen 0 laufen und somit würde die Folge auch bezüglich der ersten Norm konvergieren.
Zu 3. => 2.
Konvergiert eine Folge bezüglich dieser Norm,so ist:
limes n-> unendlich = | fn(0) -f(0) | + sup | f'n (t) - f(t) | = 0
Da beide Summanden positiv sind, müssen sie jeweils gegen 0 laufen.
| fn(0) -f(0) | sagt aus, dass die Funktion im Nullpunkt "übereinstimmt" mit der Funktionenfolge.
sup | f'n (t) - f(t) | sagt nun aus, dass die Steigung in jedem Punkt "übereinstimmt"
Darauf sollte man doch schließen können , dass | fn(t) -f(t) | -> 0 gilt oder nicht?
Wie drücke ich das mathematischer aus?
Ich hoffe jemand kann meinem Gedankengang folgen.
Liebe Grüße,
Marvin