hi
gesetze vergessen und dann machst du dir so viel mühe für diesen beitrag, anstatt mal nachzusehen?!
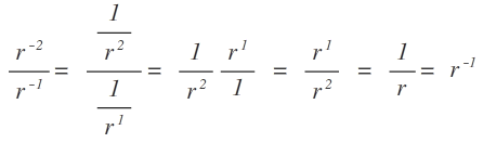
also, bei gleicher basis wird bei einem bruch die potenz des nenners subtrahiert: au / av = au-v
1)
r-2 / r-1 = r-2-(-1) = r-2+1 = r-1
manchmal ist auch eine darstellung als bruch hilfreich:

die anderen aufgaben bekommst du selber hin, oder?
lg