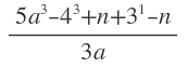
Dies kann man mal klassisch aufschreiben:

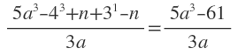
Jetzt mal alles zusammenfassen und ausrechnen (wenn möglich):

Bemerkung: n löst sich auf, da +n-n=0 ist!
Da über dem Bruchstrich eine Summe steht, kann man nicht weiter ohne auszuklammern kürzen. (es gibt den Merkspruch: Summen kürzen nur die Dummen). Hier kann man jedoch nichts ausklammern, da 61 prim ist. Das bedeutet, wir haben schon die Lösung!
Damit du jedoch das Thema verstehst, habe ich hier noch ein Beispiel für dich:

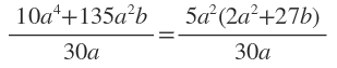
Dies kann man mal ausklammern:

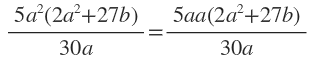
Des Weiteren kann man die 5a2 noch anders schreiben: (Das 2a2 eigentlich auch)

Jetzt kann man ganz einfach kürzen:

Dies ist vielleicht nicht von Anfang an ersichtlich, jedoch wenn man es so schreibt wie ich, dann sieht man es...
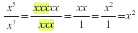
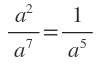
Hier wurde auch die Regel angewandt, die du angesprochen hast: Wenn man xn über xk teilt, erhält man xn-k, und zwar bleibt das xn-k dort, wo es am Anfang mehr x gehabt hat. Hier noch ein kleines Beispiel:

sowie

Ich hoffe, du verstehst das Thema jetzt und ich konnte dir helfen!
Simon