,
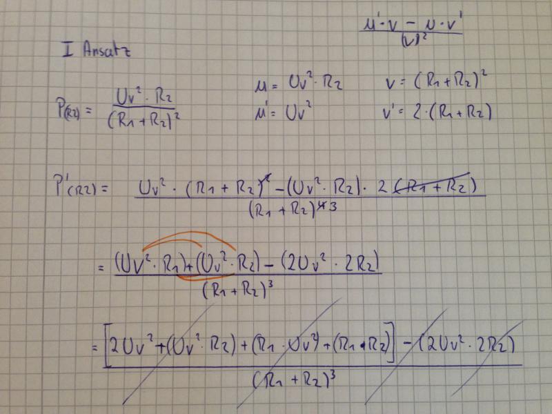
ich habe ein Problem bei folgender Funktion (Bild).
Diese soll abgeleitet werden und dann Null gesetzt werden. Habe mich mal dran probiert und möchte mich jetzt erkundigen, ob dieser Ansatz richtig ist und ob mir einer die Funktion nachvollziehbar ableiten und Null setzen kann.

Vielen lieben Dank im Voraus!