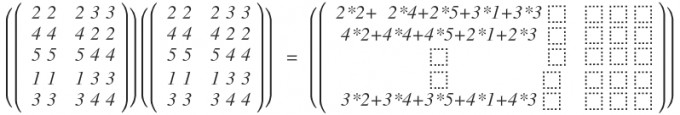
Das ist reine Fleissarbeit. Erst die Matrix 2 mal hinschreiben und dann alles schön ausrechnen nach folgendem Schema.
$$ \left( \begin{pmatrix} \begin{matrix} 2 & 2 \\ 4 & 4 \\ 5 & 5 \end{matrix} & \begin{matrix} 2 & 3 & 3 \\ 4 & 2 & 2 \\ 5 & 4 & 4 \end{matrix} \\ \begin{matrix} 1 & 1 \\ 3 & 3 \end{matrix} & \begin{matrix} 1 & 3 & 3 \\ 3 & 4 & 4 \end{matrix} \end{pmatrix} \right) \left( \begin{pmatrix} \begin{matrix} 2 & 2 \\ 4 & 4 \\ 5 & 5 \end{matrix} & \begin{matrix} 2 & 3 & 3 \\ 4 & 2 & 2 \\ 5 & 4 & 4 \end{matrix} \\ \begin{matrix} 1 & 1 \\ 3 & 3 \end{matrix} & \begin{matrix} 1 & 3 & 3 \\ 3 & 4 & 4 \end{matrix} \end{pmatrix} \right) \quad =\quad \left( \begin{pmatrix} \begin{matrix} 2*2+\quad 2*4+2*5+3*1+3*3 & \\ 4*2+4*4+4*5+2*1+2*3 & \\ & \end{matrix} & \begin{matrix} & & \\ & & \\ & & \end{matrix} \\ \begin{matrix} & \\ 3*2+3*4+3*5+4*1+4*3 & \end{matrix} & \begin{matrix} & & \\ & & \end{matrix} \end{pmatrix} \right) $$
Als Grafik:
