0 Daumen
2,8k Aufrufe

ich würde mich für jede Formel und Verbesserungen bedanken. !

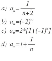
1.) Berechnen Sie die Folgenglieder a1 - a9 .

Bild Mathematik

a) a1=1/3 a2=1/4 a3=1/5 a4=1/6 a5=1/7 a6=1/8 a7=1/9 a8=1/10 a9=1/11

b) a1=-2 a2=4 a3=-8 a4=16 a5=-32 a6=64 a7=-128 a8=256 a9=-512

c) a1=1 a2=3 a3=1 a4=3 a5=1 a6=3 a7=1 a8=3 a9=1

d) a1=2 a2=1,5 a3=4/3 a4=1,25 a5=1,2 a6=7/6 a7=8/7 a8=1,125 a9=10/9

Avatar von

1 Antwort

0 Daumen
 
Beste Antwort

Na ist doch prima. Wo ist das Problem ?

Avatar von 289 k 🚀

Vielen Danke für die Kontrolle :)

Die nächste Aufgabe, die ich gepostet habe, dort habe ich ein Problem :)

Ein anderes Problem?

Stell deine Frage

Willkommen bei der Mathelounge! Stell deine Frage einfach und kostenlos

x
Made by a lovely community