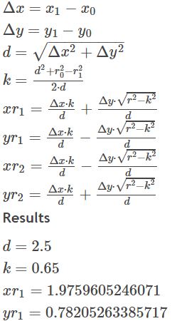
Hilfe bei Formel anwendung, ich verstehe diese Formel nicht ganz, danke
Formel:

Alle Werte für die Formel sind: Gegeben ist: x0=1 und x1=3 //y1=1 y2=5/2 // ro=1 und r1=2
Ich hab auch alles raus, d und k und so schriftlich nur xr1 und yr1 krieg ich nicht raus! Ich hab alles 1 zu 1 von der Formel übertragen, nur steht in der Fomel für xr1 (r)^2 was ist mit diesen r gemeint? Ich habe r0 und r1 probiert komme aber auf andere Werte. Meine Formel für x1 wie ich sie habe: (2*(13/20))/((5/2)) + (3/2)*(sqrt(4-(13/20)^2)/(5/2) das ist die xr1 Formel 1 zu 1 übertragen nur das ich für r^2 r1=2 genommen habe, wenn ich r0=1 nehme kommt aber auch ein anderes Ergebnis raus als unten. Danke für Hilfe