hallo
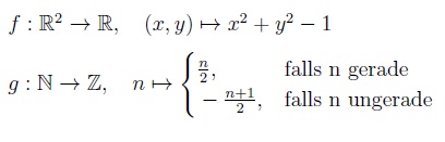
ich soll bestimmen, welche Funktion injektiv, surjektiv, oder bijektiv ist.
 
 
die erste Funktion erinnert mich an eine Kreisgleichung. Ich denke, dass sie bijektiv ist.
Meine Aufgabe ist es zu bestimmen, aber ich vermute, dass ich auch begründen muss, warum.