Hallo !
ich weiß leider bei einer Aufgabe, die mir doch sehr leicht erschien, nicht weiter.
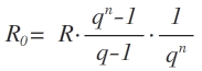
Eine Zahlungsreihe (zum Beispiel eine Ratenzahlung) bestehe aus konstanten Beiträgen von jeweils 1000 Euro pro Jahr. Wie hoch ist der Barwert dieser Zahlungsreihe bei konstantem Zinssatz von 5% pro Jahr bei einem Planungshorizont von 10 Jahren bzw. n Jahren. 
Mit welcher Formel muss ich hier rechnen?
Habe in vielen Büchern nachgeschaut und irgendwie sieht es immer wieder anders aus.
Stimmt die Formel für nachschüssig? Wenn es um das vorschüssige ist hänge ich einfach an der Formel *q an .

Danke für die Antworten.