Ich hätte hier noch eine Frage zu einer Aufgabe.
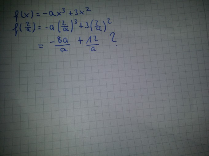
Meine Funktion lautet: f (x)= -ax^3 + 3x^2 ,a>0
Nun sollte ich die Extrema dieser Funktionen berechnen. Ein Extremum liegt im Ursprung und der andere liegt bei 2/a. Nun habe ich Probleme beim Berechnen des y Punktes. Gewöhnlich müsste ich x in f (x) einsetzen aber irgendwie komme ich nicht auf das Ergebnis wie in den Lösungen. Nach der Lösung soll der y Punkt 4/a^2 lauten.
