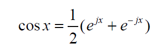
es geht um diese Identität.

Dabei versuche ich eine Aufgabe nachzuvollziehen. Das ist nur ein Ausschnitt einer größeren Aufgabe...
cos x = (1/128) (ej7x + e-j7x) 
im nächsten SChritt wird folgendes gemacht.
cos x = (1/128)*2 ( (1/2) (ej7x + e-j7x) )
cos x =  (1/64) cos 7x 
dabei verstehe ich nicht warum der 1/128 Bruch mit 2 multipliziert wird. WEnn ich mir die obige Identität anschaue sehe ich nur die multiplikation mit einhalb. 
Warum also die multiplikation mit 2...