ZU 1.  Aber soll ich das nun in die pq Formel setzen oder in die Mitternachtsformel? 
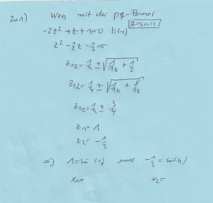
ist egal , ich habe es mit pq-Formel gerechnet ->siehe Rechnung
Da mußt Du noch durch( -2) die Gleichung dividieren.
ZU 2. Eine andere Möglichkeit gibt es nicht anzufangen, oder?  
Wüßte ich im Moment nicht.