Ich weiß, was Stetigkeit bedeutet und wann dies gilt.
Jedoch verstehe ich die Aufgaben nicht ganz.
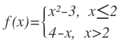
Bsp: Untersuche auf Stetigkeit an der Stelle x0=2
Vielleicht kann jemand erklären was ich hier genau machen muss.
Muss ich einfach x0=2 nehmen oder jeweils einmal kleiner und größer?
