Die Aufgabe wurde sich so nicht gestellt.
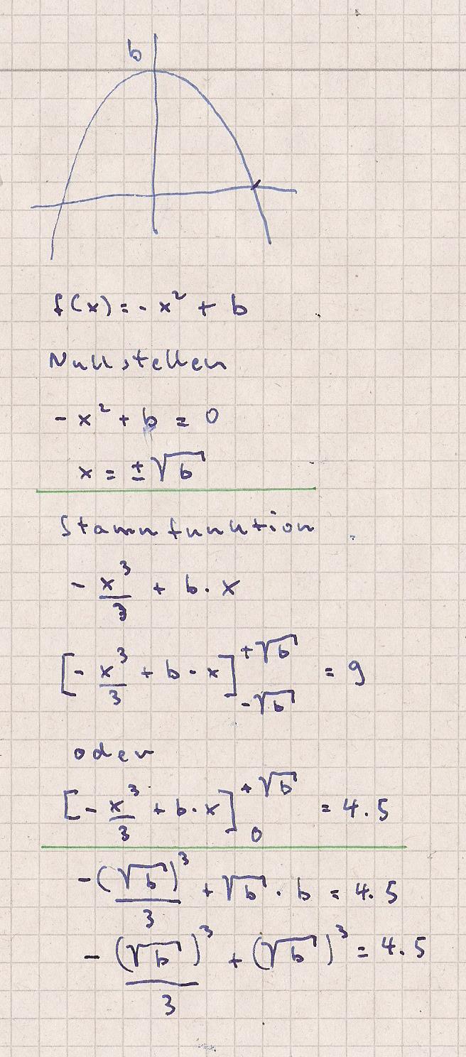
Es muß in etwa lauten : für welches b hat die Funktion f ( x ) = -x^2 + b
eine Fläche von 9 in bezug auf die x-Achse.

Da die linke und die rechte Hälfte gleich sind kann man
auch zwischen 0 und √ b integrieren und dann die Hälfte
der Fläche ansetzen.
2/3 * ( √ b )^3 = 4.5
( √ b )^3 = 13.5 / 2
√ b = ( 13.5 / 2 )^{1/3} = 1,88988
b = 3.572
f ( x ) = -x^2 + 3.572
Müßte stimmen. Bitte selbst überprüfen.