Ich lerne derzeit für eine Klausur und zu einer Übungsaufgabe gibt es nur das Ergebnis und nicht den Lösungsweg. Ich bräuchte deswegen eure Hilfe um den Term umzustellen sodass er zur Lösung passt.
Gesucht ist der Übertragungsfaktor. v(ω) = U2 / U1

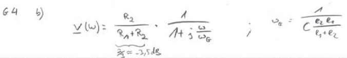
Das ist die Lösung der Professorin:

Das ist mein Ansatz:
v(ω) = Z / (Z+R1)
NR: Z = ( R2 * (1/jωC) ) / ( R2 + (1/jωC) )
⇔ Z = R2 / (1 + jωCR2)
v(ω) = R2 / ( (1 + jωCR2) [ R2 / ( 1 + jωCR2)+R1] )
soweit meine Lösung. Das Ergebnis soll so aussehen:
v(ω) = ( R2 / (R1 + R2) ) · ( 1/ [ 1 + jωC(R1R2) / (R1 + R2)) ] )