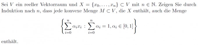
Ich habe hier eine interessante Aufgabe:

Eigenschaft einer konvexen Menge war ja:
$$ \lambda a+(1-\lambda)b\in M $$ mit $$ a,b\in M, \lambda \in R, 0\leq\lambda\leq1 $$
Das Problem ist, dass ich keinen richtigen Ansatz für den Induktionsschritt habe.
$$ \sum _{ i=0 }^{ n+1 }{ a_ix_i } =\sum _{ i=0 }^{ n }{ a_ix_i } + a_{n+1}x_{n+1} $$
Wie zeige ich letztlich, dass diese Menge wieder in M enthalten ist?