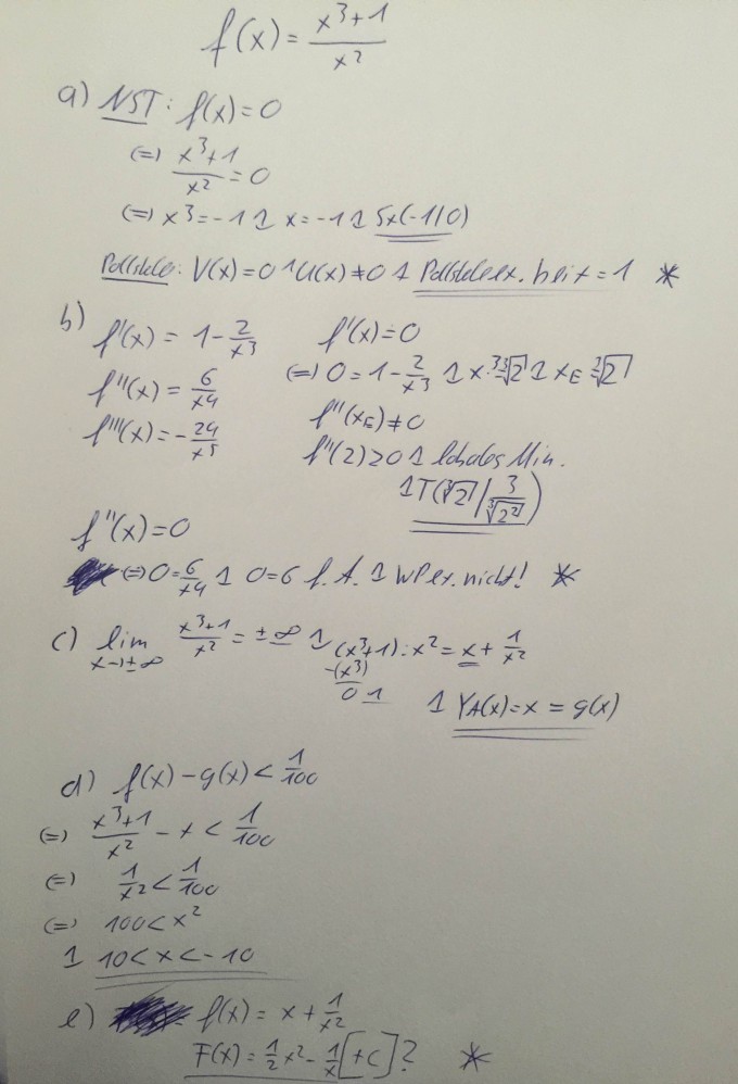
Aufgabenstellung und meine Lösung siehe Bild 1-3.
Ich habe öfters ein Kreuz bzw. Fragezeichen hinter die Lösung geschrieben, hiebei würde ich gerne wissen ob man es in der Form schreiben kann / darf bzw. wie würdet ihr es schreiben.
Bei der Aufgabe f) war ich etwas verwirrt was ich alles machen soll, also wenn ich zuviel getan habe bitte melden :)
Bedanke mich wie immer schonmal im voraus.
LG
 
  
 