Wenn du etwas hast, das stimmt, ist die Existenz bewiesen.
Ich nehme mal das Resultat von deinem Kommilitonen und schreibe Wa für Wurzel aus a.
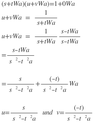
Und nehme an, dass für ein beliebiges Element dieser Menge z= s+tWa ein Inverses z-1 = u+vWa existiert.
So gilt
(s+tWa)(u+vWa) = 1 + 0Wa |Nun rechne ich u+vWa aus.

u und v sind rationale Zahlen, da sie aus solchen aufgebaut sind.
Nun kannst du, das Inverse einsetzen und hoffen dass sowohl z*z-1 als auch z-1*z das neutrale Element ergeben.
Anhang: Latex-Text der Formeleingabe:
(s+tWa)(u+vWa)=1+0Wa\\ u+vWa\quad =\quad \frac { 1 }{ s+tWa } \\ u+vWa\quad =\quad \frac { 1 }{ s+tWa } \frac { s-tWa }{ s-tWa } \\ =\frac { s-tWa }{ s{ \quad }^{ 2 }-t{ \quad }^{ 2 }a } \\ \\ =\frac { s }{ s{ \quad }^{ 2 }-t{ \quad }^{ 2 }a } +\frac { (-t) }{ s{ \quad }^{ 2 }-t{ \quad }^{ 2 }a } Wa\\ \\ u=\frac { s }{ s{ \quad }^{ 2 }-t{ \quad }^{ 2 }a } \quad und\quad v=\frac { (-t) }{ s{ \quad }^{ 2 }-t{ \quad }^{ 2 }a } \\