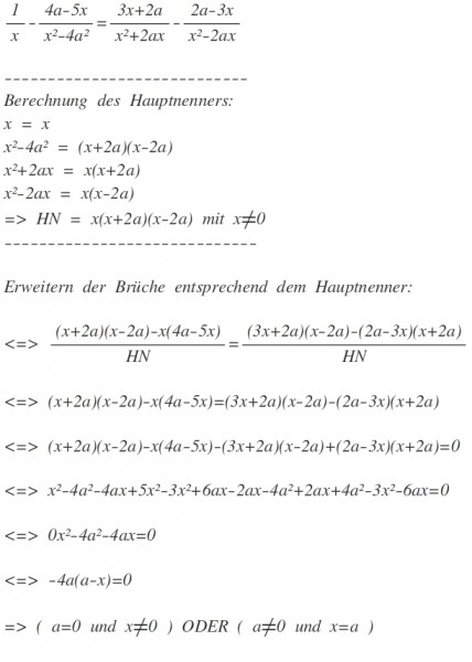
So ist es richtig:
\( \frac{1}{x}-\frac{4 a-5 x}{x^{2}-4 a^{2}}=\frac{3 x+2 a}{x^{2}+2 a x}-\frac{2 a-3 x}{x^{2}-2 a x} \)
Berechnung des Hauptnenners:
\( x=x \)
\( x^{2}-4 a^{2}=(x+2 a)(x-2 a) \)
\( x^{2}+2 a x=x(x+2 a) \)
\( x^{2}-2 a x=x(x-2 a) \)
\( \Rightarrow H N=x(x+2 a)(x-2 a) \) mit \( x \neq 0 \)
Erweitern der Brïche entsprechend dem Hauptnenner:
\( \Leftrightarrow \frac{(x+2 a)(x-2 a)-x(4 a-5 x)}{H N}=\frac{(3 x+2 a)(x-2 a)-(2 a-3 x)(x+2 a)}{H N} \)
\( \Leftrightarrow (x+2 a)(x-2 a)-x(4 a-5 x)=(3 x+2 a)(x-2 a)-(2 a-3 x)(x+2 a) \)
\( \Leftrightarrow (x+2 a)(x-2 a)-x(4 a-5 x)-(3 x+2 a)(x-2 a)+(2 a-3 x)(x+2 a)=0 \)
\( \Leftrightarrow x^{2}-4 a^{2}-4 a x+5 x^{2}-3 x^{2}+6 a x-2 a x-4 a^{2}+2 a x+4 a^{2}-3 x^{2}-6 a x=0 \)
\( \Leftrightarrow 0 x^{2}-4 a^{2}-4 a x=0 \)
\( \Leftrightarrow a(a-x)=0 \)
\( \Rightarrow(a=0 \) und \( x \neq 0 \) ) \( O D E R(a \neq 0 \) und \( x=a) \)
