Sobald du gerade Exponenten findest, kannst du deren Basen mit den halbierten Exponenten vor die Wurzel nehmen. Viel mehr kann man da nicht machen.

Hier würde ich bei diesem Term aufhören.
Kann sein, dass du gewisse Vorgaben hast, wie am Schluss keine Bruchstriche und keine Wurzeln dafür negative und gebrochene Exponenten.
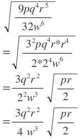
Unten noch der Code aus dem Formeleditor, falls du den mal brauchen kannst:
\sqrt { \frac { { 9pq }^{ 4 }{ r }^{ 5 } }{ { 32w }^{ 6 } } } \\ =\sqrt { \frac { { { 3 }^{ 2 }pq }^{ 4 }{ r*r }^{ 4 } }{ { 2*{ 2 }^{ 4 }w }^{ 6 } } } \\ =\frac { 3{ q }^{ 2 }{ r }^{ 2 } }{ { 2 }^{ 2 }{ w }^{ 3 } } \sqrt { \frac { pr }{ 2 } } \\ =\frac { 3{ q }^{ 2 }{ r }^{ 2 } }{ 4^{ \quad }{ w }^{ 3 } } \sqrt { \frac { pr }{ 2 } }