Hier deine Anleitung:
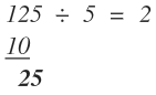
Also ich nimm mal eine ganz einfache Aufgabe: 125 / 5. Dies rechne ich Schritt für Schritt schriftlich vor (man nennt dies schriftliche oder Treppendivision) und gebe noch ein paar Tipps:
Als erstes schreibt man alles mal auf was man hat (den Therm):

und nun versucht man die erste Zahl des Dividenden (1) durch den Quotient (5) zu teilen, was ja nicht funktioniert:

Desshalb schreibt man hinter das Gleichheitszeichen eine 0 hin. (ist eigentlich nicht nötig, aber falls man hinter dem Komma dividiert, wird es wieder benötigt....).
Da dies nicht funktioniert, muss man die nächste Ziffer auch noch mitdividieren (hier die 2 --> man dividiert 12 / 5):

(Ich habe das 0 wieder entfernt) Wie du siehst, hat es hier einen Rest... aber man macht es anders: Man nimmt die Zahl, die Man hingeschrieben hat (die 2) und nimmt sie mit dem Quotienten mal. Dies schreibt man unter die Zahl, die dividiert wurde:

Diese Zahlen werden nun voneinander subtrahiert (der Rest wird aufgeschrieben):

Und nun wird die nächste Ziffer des Dividenden heruntergeholt (die 5) und an den Rest angehängt:

und nun wird ganz normal weiterdividiert (wie von oben bekannt):

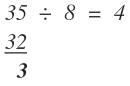
Du siehst, hier ist der Rest null. Wäre er es nicht, so müsste man weiterrechnen (ich nehme die Rechnung 35 / 8 und habe mal angefangen zu lösen...):

Was gibt es da herunterzuholen?, wirst du dich nun fragen. Aber es gibt etwas: die Nullen! Du musst dir einfach vorstellen, dass nicht 35 sondern 35.000 steht. also holt man eine null herunter und !!!nicht vergessen!!!, ein Komma hinter die 4 (oder andere Ziffern) zu setzen:

Und nun wie gewohnt weiterrechnen:

Dies ist schon alles. Falls es noch viel weitergehen würde, kannst du irgenwann mal aufhören oder es könnte sein, dass irgendwann mal eine Periode auftaucht (z.B. 1.1666666666666.....; wobei hier die 6 die Periode ist).
Ein weiterer Fall, der dich verwirren könnte: Der Quotient ist grösser als 10. Da nimmst du einfach die kleinstmögliche Zahl herunter und dividierst den Dividend durch den vollständigen Quotient.
Ich hoffe, ich konnte helfen und du verstehst es nun!
Simon