die Eckpunkte des Dreiecks A,B,C bleiben meiner nach
Meinung doch erhalten, deshalb dürfte deine Frage nicht
so ganz richtig sein.
Wird eine Strecke z.B. von A nach B geändert so ergibt sich

Aus
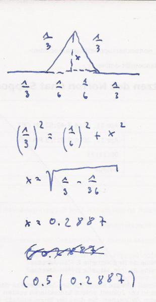
( 0 | 0 ) ( 1 | 0 )
werden die neuen Koordinaten
( 0 | 0 ) ( 1/3 | 0 ) ( 0.5 | 0.2887 ) ( 1/3 | 0 ) ( 1 | 0 )
Das Ganze geht über Endlosteilung für
( 0 | 0 ) ( 1/3 | 0 )
( 1/3 | 0 ) ( 0.5 | 0.2887 )
( 0.5 | 0.2887 ) ( 1/3 | 0 )
( 1/3 | 0 ) ( 1 | 0 )
weiter.
Ein Fall für den Computer. Ich selbst habe einmal ein solches
Programm geschrieben.
Bist du nur am Schritt / Koordinaten für die Strecken
BC und CA interessiert ?
Bei Fehlern oder Fragen wieder melden.
mfg Georg