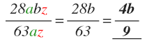
Auf die frage kann man 28abz:63az dividieren, kann ich nur antworten: ja! Man könnte es als kürzbaren Bruch schreiben:

\frac { 28abz }{ 63az } =\frac { 28b }{ 63 } =\frac { 4b }{ 9 }
Und dann erhältst du auch gleich die Lösung....
Bei der Aufgabe (2003-90a2-50a):5 ist es schon ein wenig komplizierter.... Da muss man zuerst das Distributivgesetz anwenden:
(2003-90a2-50a):5 = (2003)/5 - 90a2/5 - 50a:5
2003 / 5 = 1600000
90a2 / 5 = 18a2
50a / 5 = 10a
--> 1 600 000 - 18a2 - 10a
Das ist deine Lösung.... Also du hast dich da leider komplett verrechnet....
Ich hoffe, ich konnte helfen und ihr verstehst es jetzt!
Simon