+1 Daumen
1,5k Aufrufe

Aufgabe:

Aufgabe 3. Es sei \( M \) Teilmenge einer Gruppe \( G \). Zeigen Sie:
\( \langle M\rangle=\left\{g_{1}^{e_{1}} \cdots g_{n}^{e_{n}} \mid n \in \mathbb{Z}_{\geq 0}, g_{1}, \ldots, g_{n} \in M, e_{1}, \ldots, e_{n} \in \mathbb{Z}\right\} \)


Das Lemma sagt Folgendes:

Es sei M eine Teilmenge einer Gruppe G. Dann ist eine Teilmenge V ⊂ G genau dann die von M erzeugte Untergruppe ⟨M⟩, wenn gilt:

1. V ist eine Untergruppe von G ist, die M enthält.

2. Ist U eine beliebige Untergruppe von G, die M enthält, so enthält U bereits V.


Jetzt muss ich laut 1. zunächst ja zeigen, dass ⟨M⟩ eine Untergruppe von G ist.
Also muss ich die drei Untergruppenkriterien durchgehen.

Seien a,b ∈ U, wobei U die rechte Seite des Gleichheitszeichen ist.

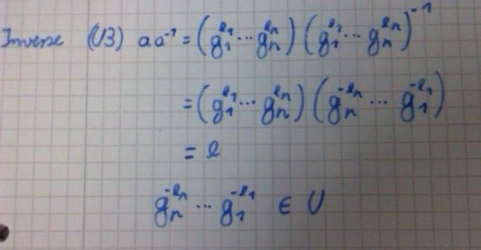
Bild Mathematik Bild Mathematik

Ich verstehe ansich nicht, wie diese Untergruppe zu deuten ist, also welche Elemente dort jetzt enthalten sind. Trotz diesem Satz bei (U1). Wäre hilfreich, wenn mir das mal jmd. erklären könnte.

Bei (U2) muss bei dem gn hoch en das n durch die 0 ersetzt werden sehe ich gerade. Das wäre per Definition dann irgendwie e. Bedeutet das, dass wenn die Menge leer ist, trotzdem das e drin sein muss, da es sonst keine Gruppe wäre?

(U3) habe ich denke ich ganz gut verstanden.

Avatar von

Ein anderes Problem?

Stell deine Frage

Willkommen bei der Mathelounge! Stell deine Frage einfach und kostenlos

x
Made by a lovely community