Hi,
hier würde ich mit folgenden Umformungen beginnen:

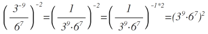
Du solltest wissen, dass gilt x-n=1/xn ;).
Im dritten auf letzten Schritt hatte ich mir erlaubt den Bruch umzudrehen, was eine Vorzeichenänderung im Exponenten zur Folge hat.
Fortgefahren wird wie folgt: (39*67)2=318*614=30359882774148562944≈3,036*1019
Wenn du es als Potenz stehen lassen willst, kann man das auch vereinfacht ausdrücken: 318*614=318*214*314=332*214
Du weißt ja, dass bei gleichen Basen, die Exponenten addiert werden ;).
Grüße