Hi
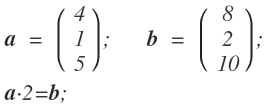
Vektoren die in die gleiche Richtung bzw. genau entgegengesetzte Richtung zeigen, also linear abhängig sind unterscheiden sich nur durch einen Faktor.

a und b zeigen in die gleiche Richtung; b ist gegenüber a um 2 gestreckt.
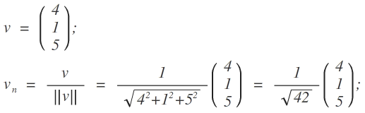
Die Normierung geht dann folgendermaßen:

Wenn Du die Vektornorm (Betrag) bildest, kommt wieder 1 heraus.
lg JR