Habs jetzt mal für die a) mal gerechnet. Kriegst du die b) damit selber hin?

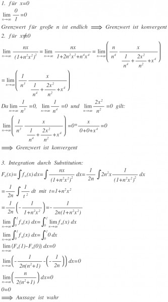
1. Für x = 0
\( \lim \limits_{n \rightarrow \infty} \frac{0}{I}=0 \)
Grenzwert für große \( n \) ist endlich \( \Longrightarrow \) Grenzwert ist konvergent.
2. für \( x \neq 0 \)
\( \lim \limits_{n \rightarrow \infty} \frac{n x}{\left(1+n^{2} x^{2}\right)^{2}}=\lim \limits_{m \rightarrow \infty} \frac{n x}{1+2 n^{2} x^{2}+n^{4} x^{4}}=\lim \limits_{n \rightarrow \infty}\left(\frac{n}{n^{4}} \frac{x}{\frac{1}{n^{4}}+\frac{2 x^{2}}{n^{2}}+x^{4}}\right) \)
\( =\lim \limits_{n \rightarrow \infty}\left(\frac{I}{n^{\prime}} \frac{x}{\frac{1}{\frac{1}{n^{4}}}+\frac{2 x^{2}}{n^{2}}+x^{4}}\right) \)
\( D a \lim \limits_{n \rightarrow \infty} \frac{I}{n^{3}}=0, \quad \lim \limits_{n \rightarrow \infty} \frac{I}{n^{4}}=0 \) und \( \lim \limits_{n \rightarrow \infty} \frac{2 x^{2}}{n^{2}}=0 \) gilt:
\( \lim \limits_{n \rightarrow \infty}\left(\frac{l}{n^{3}} \frac{x}{\frac{1}{n^{4}}+\frac{2 x^{2}}{n^{2}}+x^{4}}\right)=0^{4} \frac{x}{0+0+x^{4}}=0 \)
\( \Longrightarrow \) Grenzwert ist konvergent
Integration durch Substitution:
\( F_{n}(x)=\int f_{n}(x) d x=\int \frac{n x}{\left(1+n^{2} x^{2}\right)^{2}} d x=\frac{I}{2 n} \int 2 n^{2} x \frac{I}{\left(I+n^{2} x^{2}\right)^{2}} d x \)
\( =\frac{l}{2 n} \int \frac{l}{t^{2}} d t \) mit \( t=l+n^{2} x^{2} \)
\( =\frac{l}{2 n}\left(-\frac{l}{l+n^{2} x^{2}}\right)=-\frac{l}{2 n\left(l+n^{2} x^{2}\right)} \)
\( \lim \limits_{n \rightarrow \infty} \int \limits_{\theta}^{l} f(x) d x=\int \limits_{0}^{l} \lim f_{n}(x) d x \)
\( \lim \limits_{n \rightarrow \infty} \int \limits_{0}^{j} f(x) d x=\int \limits_{0}^{l} 0 d x \)
\( \lim \limits_{n \rightarrow \infty}\left(F_{0}(l)-F_{f}(\theta)\right) d x=0 \)
\( \lim \limits_{n \rightarrow \infty}\left(-\frac{l}{2 n\left(n^{2}+l\right)}-\left(-\frac{l}{2 n}\right)\right) d r=0 \)
\( \lim \limits_{n \rightarrow \infty}\left(\frac{n}{2\left(n^{2}+l\right)}\right) d x=0 \)
\( \Longrightarrow \) Aussage ist wahr