Hallo Forum-Mitglieder,
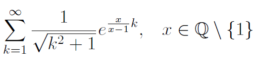
cih habe folgende Reihe gegeben:

Nun soll ich untersuchen, für welches die die Reihe divergiert bzw. konvergiert. Die Reihe sieht ziemlich unübersichtlich aus. Kann man die eventuell umformen oder mit einer Reihe abschätzen?
LG
Orbi