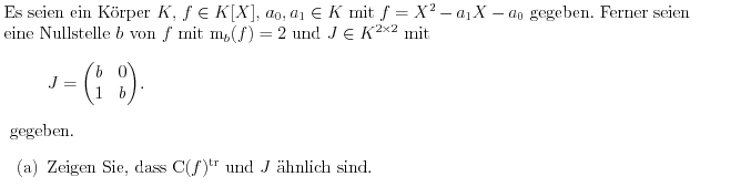
es geht um folgende Aufgabe:

Ich weiss bereits, dass C(f) (die Begleitmatrix zu f) = {{0,a_(0)},{1,a_(1)}} ist und somit C(f)^tr = {{0,1},{a_(0),a_(1)}} ist.Was bedeutet es jetzt für C(f)^tr dass es eine "Nullstelle b von f mit der algebraischen Vielfachheit 2" gibt?Und wie bestimme ich dann ein P sodass
C(f)tr * P = P *J Danke.