0 Daumen
1,7k Aufrufe

Die Solarmatten einer Firma sind mit einer WSK von 0,1 defekt.

Eine Schwimmbad Firma benötigt 16 Matten.

Um auf Nummer sicher zu gehen bestellt man 30 Matten.

a.) Wie groß ist die WSK, für eine ausreichende Anzahl an funktionierenden Matten?

Ich möchte diese Rechnung gerne über die Normalverteilung lösen....

dami komme ich auch zurecht aber ich möchte gerne Wissen warum ich nicht die Binomialverteilung anwenden sollte?


mfg

Avatar von
Hi, Du möchtest...

...gerne wissen, warum ich nicht die Binomialverteilung anwenden sollte?

das liegt vieleicht an:

Ich möchte diese Rechnung gerne über die Normalverteilung lösen....

Abgesehen davon wäre die Binomialverteilung sicher nicht verkehrt, aber manchmal eben etwas unpraktisch. Verwende einen Computer und es kann dir egal sein.
Hi,
gerade dann wenn die WSK sehr klein und die Anzahl der Versuche sehr groß ist dann aproximiert man die Binomialverteilung mit Poissonverteilung oder Normalverteilung.

Die Normalverteilung warum willst du sie anwenden?  Aufgabestellung ?

Für Normalverteilung muss noch einige Bedingungen erfült werden, aber in deinem Fall ist ehr nicht, den es muss :

 $$n*p\geq 4$$ und gleichzeitig muss aber auch $$n(1-p)\geq 4$$ erfüllt werden.

Warum nicht Poissonverteilung?

Gruß Momo

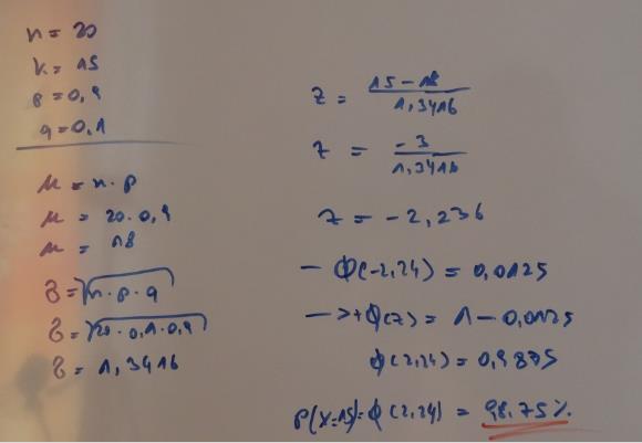
Die folgende Rechnung basiert auf dBild Mathematik er Angabe von oben,-mit anderen Zahlen.

Dabei werden 15 Matten gebraucht und 20 bestellt.

Matte ist mit einer WSK von 0,1 defekt.

Es soll die WSK berechnet werden, dass genügend intakte Solarmatten bei der Bestellung dabei sind.

-----------------------------------------

Der Grund für meine Frage ist jener, dass ich weder mit der Normalverteilung  noch der Binomialverteilung (Poison brauche ich nicht-habe ich nicht) auf das Ergebnis von 98,88 komme.

0,9887468658355 (Binomialverteilung)

0,9746526813225 (Näherung durch Normalverteilung ohne Korrektur)

0,9834363915194 (Näherung durch Poisson-Verteilung)

der korrekte Wert der kumulierten \((20 ; 0.1)\)-Binomialverteilung auf vier Nachkommastellen genau gerundet und mittels Tabelle bestimmt lautet \(P(X \le 5)=0.9887\). Hat da jemand die Herleitug über die Normalverteilung versucht und das Ergebnis dann aber doch über die Binomialverteilung ermittelt? Mit der Normalverteilung würdest Du nicht auf diesen Wert kommen.

2 Antworten

0 Daumen
Hi,
gerade dann wenn die WSK sehr klein und die Anzahl der Versuche sehr groß ist dann aproximiert man die Binomialverteilung mit Poissonverteilung oder Normalverteilung.

Die Normalverteilung warum willst du sie anwenden?  Aufgabestellung ?

Für Normalverteilung muss noch einige Bedingungen erfült werden, aber in deinem Fall ist ehr nicht, den es muss :

np4und gleichzeitig muss aber auchn(1p)4erfüllt werden.

Warum nicht Poissonverteilung?
Avatar von
0 Daumen

Die WKT, dass von 30 Platten mindestens 16  nicht defekt sind, ist nach der Binomialverteilung:

0,999999964405

http://www.arndt-bruenner.de/mathe/scripts/normalverteilung1.htm

Avatar von
Ich habe

<!--td {border: 1px solid #ccc;}br {mso-data-placement:same-cell;}-->0,9999999644052  (Binomialverteilung)

0,9925401518363  (Normalverteilung)

0,9834155211527 (Normalverteilung mit Korrektur)

Vielleicht rechnet mir das mal jemand nach, ich
möchte wissen, ob meine Programme richtig arbeiten.

Ich ergänze noch dieses Näherungsergebnis:

0,9999993296141 (Poissonverteilung)

Ein anderes Problem?

Stell deine Frage

Willkommen bei der Mathelounge! Stell deine Frage einfach und kostenlos

x
Made by a lovely community