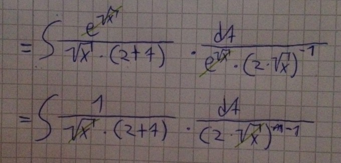
Mal eine Frage zum Kürzen:

der erste Schritt ist das klassische Kürzen und definitiv erlaubt, aber wie sieht es mit dem zweiten Schritt aus?
Ist das Kürzen im Nenner erlaubt, obwohl der zweite Bruch einen negativen Exponenten hat? Wenn ja, gibt es dafür eine konkrete Regel oder ein Gesetz? Hab so weitergerechnet und die richtige Lösung herausbekommen, möchte jetzt nur wissen, ob das Zufall war.