In einer Salamiproduktion werden Packete zu 50dag abgefüllt. Die Maschine wird auf einen Mittelwert von 50,03dag und einer Standardabweichung von 0,025 eingestellt.
p.) In wieviel Prozent aller Pakete sind weniger als 50dag Salami enthalten?
P(X<50)=?
R: sigma(50-50,03)/0,025=-1,2
sigma(-1,2)=1-0,1151=0,8849=88,49%
AW: In 88,49% aller Salamipakte befinden sich weniger als 50dag Salami.
pp.) In wieviel Prozent aller Pakete befinden sich mehr als 50,2dag Salaami?
P(X>50,2)=?
R: 1-sigma(50,2-50,03)/0,025=1-sigma(6,8)..........könne ich in so einem Fall weiter rechnen oder ist die Standardabweichung zu klein gewählt?
ppp.) Wie groß muss der Mittelwert bei gleicher Standardabweichung sein, damit 7% der Pakete einen geringeren Wert als 50dag aufweisen?
1-sigma(50-50,03)/0,025=0,07
sigma(50-mü)/0,025=0,93  /:sigma
(50-mü)/0,025=1,48
50-mü=0,037  /+mü /-0,037
mü=49,963
AW: Damit 7% aller Pakete einen geringeren Wert als 50dag aufweisen, müsste der Mittelwert auf 49,963 eingestellt werden.
pppp.) In welchem Intervall um den Mittelwert mü=50,03dag symmetrischen Bereich liegen 65% der abgefüllten Pakete:
Ich gehe jetzt mit 0,65 in die Spalte von mü in der phi-Z-Tabelle und suche mir meine Fläche richtig?
phi(z)=phi(0,65).....z=0,39 und bilde mein Intervall:
P(mü-z*sigma <X<mü+z*sigma)
P(50,03dag-0,39*0,025 <X<50,03dag+0,39*0,025)
P(50,02025;50,03975)
Hoffe das passt?
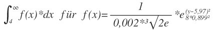
ppppp.) Erkläre in Worten folgenden Term:
 
 
Hierbei wird die Fläche in den Grenzen/Nullstellen=Schnittpunkten mit der X-Achse vom Graphen f(x) zur X-Achse hin berechnet.
Kann man dies weiters ausführen und wenn wie?
Besten Dank.
mfg