Hallöle,
Ich bräuchte bitte hilfe beim beantworten einer Übungsaufgabe (Analysis 3). Noch wichtiger als die richtige Antwort wäre mir aber das Verständnis über den Lösungsweg.
Darum gehts:
Man hat eine DGL :
Nun haben wir folgendes Vorgehen in der Vorlesung gehabt:
- man sucht ein Fundamentalsystem der Homogenen Gleichung
ein Gefundenes wäre: u=x+1 mit c1=1, c2=1
Nun bildet man Wronski determinante und sieht das sie ungleich null ist.
Jetzt kommt der schwierige Teil:
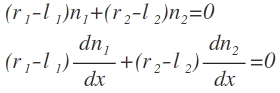
man muss stetige Funktionen l1,l2,r1,r2 finden so das folgendes erfüllt ist:

Nun hat uns leider überhaupt niemand mitgeteilt, wie man diese Funktionen ermitteln kann. In der Vorlesung hat sie die immer aus ihrem Ärmel geschüttelt.
Ich hab jetzt schon einiges probiert, hat aber nichts zum gewünschten Ergebnis geführt. Komischerweiße finde Ich auch diese Gleichungen auf keiner Website.
Kann mir jemand mitteilen wie man das Problem lösen kann?
(Teilweise hat wurde in der Vorlesung l1,l2 einfach 0 gesetzt, wobei mind. 1 Funktion ungleich null sein muss).
Gruß Jan