0 Daumen
2,7k Aufrufe

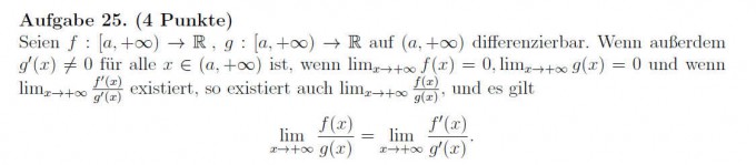
Bild Mathematik



Das ist meine momentane Aufgabe.

Ich habe nicht wirklich große Probleme damit, nur bin ich mir unsicher ob hier wirklich die 2. Regel von L´Hospital zu beweisen ist?

In der Vorlesung haben wir die erste schon bewiesen. Also für x→0.

Angenommen ich liege richtig, dann wäre es och Möglich erst zu substituieren und dann die erste Regel anzuwenden? Oder ist das falsch bzw. gibt es noch eine andere Möglichkeit.

Denn den Beweis per Substitution habe ich zwar oft im Internet bereits gesehen, ich würde aber gerne wissen, warum genau mann nach dem substituieren die 1. Regel anwenden darf?

LG Denise

Avatar von

Vermutlich weil die Voraussetzungen für die 1. Regel somit erfüllt sind ;).

ja das dachte ich mir auch schon, nur stand es nirgendwo explizit. Danke :)

Also wird es so bewiesen?

Also x durch 1/z substitieren und dann wie oben beschrieben weiter? :)

Mein Problem mit dem Beweis ist lediglich wieso die markierten Stellen so aussehen also warum die beiden Ausdrücke gleich sind ?Bild Mathematik

Das ist ein Fehler, da müsste natürlich g' stehen.

okay, danke :) aber warum wird es denn überhaupt durch die substitution zur ableitung?

Dass du die Ableitung betrachtest kommt daher, da die 1. L'Hospital Regel angewendet wurde (und die Kettenregel verwendet wurde).

stimmt, ist ja auch klar :Ddanke

Ein anderes Problem?

Stell deine Frage

Ähnliche Fragen

1 Antwort
2 Antworten
1 Antwort
1 Antwort
Gefragt 1 Nov 2014 von Gast

Willkommen bei der Mathelounge! Stell deine Frage einfach und kostenlos

x
Made by a lovely community