Quotientenkriterium
EDIT(Lu): Überschrift und Tags dem Fragetext angepasst.
1.
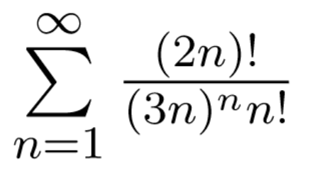
2.

3.

Alle drei Reihen soll ich mit dem Wurzelkriterium auf konvergenz und absolute Konvergenz untersuchen.
die 3. Reihe soll divergieren, die 1. und 2. sollen konvergieren
Kann mir jemand weiter helfen - wie ich das machen kann. vielen dank