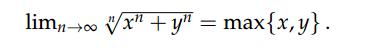
Zeigen Sie, dass für zwei beliebige positive reelle Zahlen x, y>0 gilt:

Hinweis: Schätzen Sie die Folgenglieder nach unten und oben durch Terme ab, in denen nur die größere der beiden Zahlen vorkommen und verwenden Sie das „Sandwich-Lemma“ (Einschließungskriterium).
Ich habe leider gaaaaaaaaar keine Ahnung was zu tun ist, wäre um jede Hilfe dankebar! Q___Q