Ich würde gerne wissen wie man folgende komplexe Gleichung richtig löst:
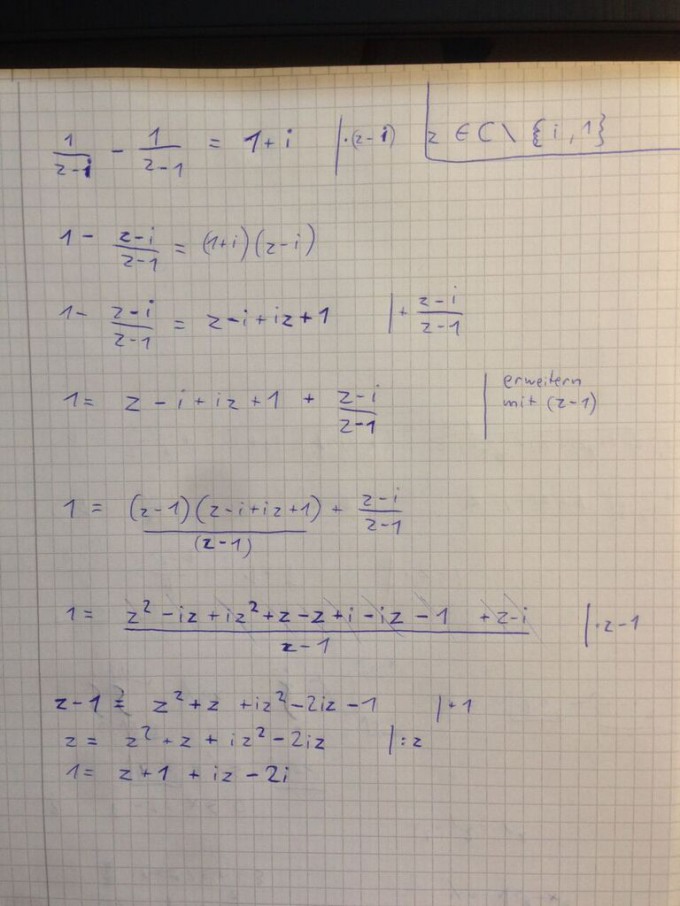
1/(z-i)-(1/z-1)=1+i                                z∈C\(i,1)
Ich schaffe es nicht das i aus der Gleichung zu bekommen um dann die Mitternachtsformel anzuwenden oder sonst irgendwie weiter zu machen.
Hier noch mein Vorgehen, keine Ahnung ab wann ich auf dem Holzweg bin;)
Danke euch