
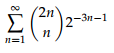
Tja, das ist meine Aufgabe, zeigen dass das konvergent ist.
Laut Balzano Weierstrass folgt Konvergenz aus Beschränktheit und Monotonie. Und nun meine Fragen:
1)Ich weiß nicht wie ich mit diesem 2n 'über' n umgehen muss, kann mir dabei jemand helfen, und mir das gut veranschaulichen.
2) Bei Beschränktheit bin ich noch ein wenig unsicher, ich hab nicht mal eine wirkliche Voraussetzung dafür, nur das man eine Grenze Abschätzen muss, und dann Induktion, aber wie?
3)Mit Monotonie komme ich eigentlich Prima klar, egal ob steigend oder fallend, aber mit diesem 2n 'über' n ist es halt ein Problem, da bräuchte ich vielleicht dann doch auch Hilfe.
4)Kann ich irgendwas mit dem Majoranten oder Minorantenkriterium bewirken?
Bin über jede Hilfe dankbar!