Vorbemerkung : hier im Forum wird üblicherweise das " du " verwendet.
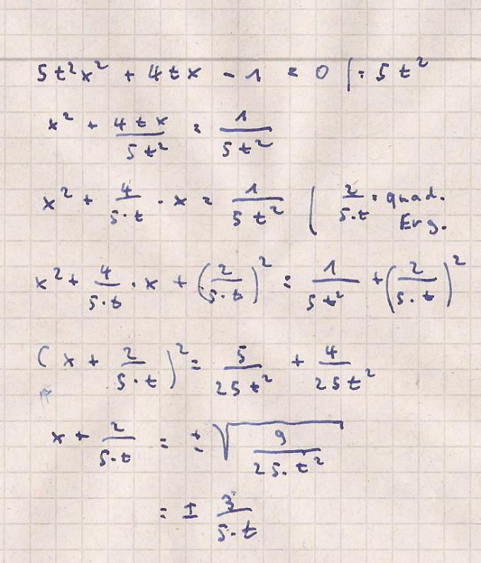
Hier eine Lösung durch Umformungen und quadratischer Ergänzung

Die Frage ist nur ob es keine, eine oder 2 Nullstellen gibt.
Der Wurzelwert ist immer positiv da t im Quadrat vorkommt und damit auch immer
positiv ist.
Ausnahme t = 0 dann gibt es keine Lösung ( Division durch 0 ).
Für jedes t hat die Funktion 2 Nullstellen.
5 * t^2 *x^2 + 4 * t * x -1
blaue Kurve : t = 1
rote Kurve : t = -0.5
~plot~ 5 * 1^2 *x^2 + 4 * 1 * x -1 ; 5 * (-0.5)^2 *x^2 + 4 * (-0.5) * x -1 ~plot~