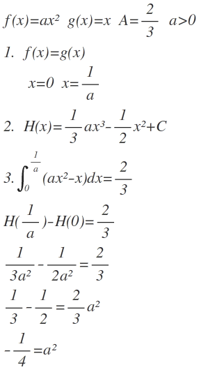
Es geht um die Integralrechnung. Die Variable a soll ermittelt werden. Dies habe ich getan siehe Foto, am Ende kommt a=0,5 heraus. Wie man sieht, kann man von einer negativen Zahl keine Wurzel ziehen. Das heißt man muss den Betrag nehmen. Nun stellt sich die Frage, wieso man den Betrag nehmen muss?
Wenn man aber h(x)=g(x)-f(x) bestimmt, dann kommt man am Ende auf einen postivien Wert, von dem man die Wurzel ziehen kann. Wann kommt denn immer ein psotiver Wert heraus?
Ich brauche nun eine Begründung, wieso man den Betrag nehmen muss bzw. was man tuen muss, wenn man ein negativen Wert hat, von dem man die Wurzel ziehen muss.
Ich weiß, dass ich gerade selbst die Frage beantworte, dass man bei einem negativen Wert den Betrag nehmen muss, aber ich brauche eine andere "richtige" Erklärung.
