Meine Antwort enthält einen Fehler bei 10^{-5}, Da habe ich
10^5 eingesetzt.
Die Aufgabe ist folgendermassen aufgebaut.
(cos(x))^2 ist Null oder positiv
(cos(x))^2 + 1/10^5 ist stets posiiv
Der ln ( ) ist damit immer gegeben.
D = ℝ
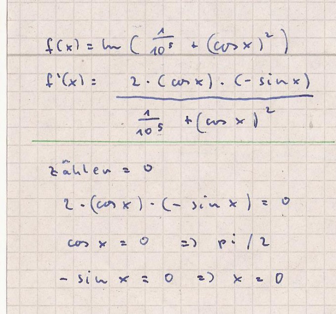
Hier meine Berechnungen

Extremstellung 1.Ableitung = 0
Ein Bruch ist dann 0 wenn der Zähler 0 ist.
2 * ( cos x ) * ( - sin x ) = 0
Satz vom Nullprodukt
Ein Produkt ist dann 0 wenn mindestens 1 der Faktoren null ist.
Es ergeben sich als erste Stellen
x = 0 und x = pi/2
~plot~ ln ( 1/10^5 + (cos(x))^2 ) ; [[ -5 | 5 | -12 | 0 ]] ~plot~
Nachträge
Man kann auch
- 2 * ( cos x ) * ( sin x ) = 0
schreiben.
Wie du siehst wiederholen sich die Extremstellen.
Dies wäre auch in einer Antwort zu berücksichtigen.
Der Funktionswert sollte auch berechnet werden.
Es wird nur nach den Extremstellen gefragt.
Ob es ein Hoch- oder Tiefpunkt ist wird nicht unbedingt erfragt.
mfg Georg