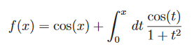
Hallo ich soll die Taylorreihe hiervon berechnen mit dem extwicklungspunkt x0=0 bis zu quadratische Terme .

f(0)= cos(0)+ 0 =1
f´(x)= -sin(x) +cos(x)/(1+x^2) geht das wegen dem Hauptwertsatz der Integralrechnung da cos(t)/(1+t^2) stetig ist ?
f´(0)= 0 +1/(1+0)= 1
f´´(x) -cos(x) [-sin(x)(1+x^2) -cos(x)*2x]/[(1+x^2)^2]
f´´(0)= -1
dann nach Maclaurin Formel ist das Ergbeniss : 1+x -x^2 .
Liege ich richtig?