
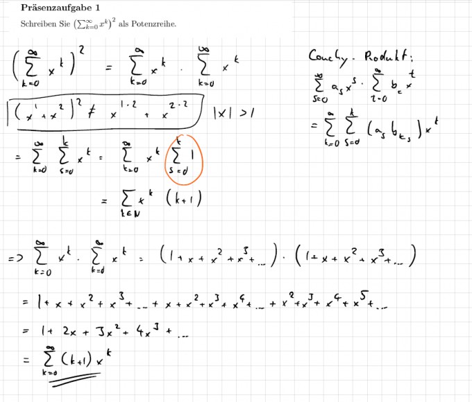
Ich weiß, dass das cauchy-produkt: ∑∞s=0 asxs * ∑∞t=0 btxt= ∑∞k=0∑ks=0 (as*bk-s)*xk, t=k-s, k=t+s ist, aber ich kann das hier nicht anwenden, diese ganzen Buchstaben verwirren mich.
∑∞k=0 3kxk * ∑∞k=0 (-3)k*xk = ∑∞k=0∑kk=0 3kxk*(-3)kxk = ∑∞k=0∑kk=0-22k*x2k . A und b sind mir auch fremd.
Irgendwie so soll man das anwenden, aber ich verstehe nicht was genau hier vorgeht. Wieso ist da xk und nicht x2k und wie kommt man auf ∑nk=01 ?